728x90
반응형
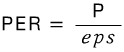
1) 주가수익배수법 PER

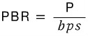
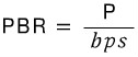
2) 주가장부배수법 PBR

3) 주가매출액배수법 PSR

728x90
반응형
'Study > 경영학' 카테고리의 다른 글
| [경영학/재무학] 재무분석 - 비율분석 (0) | 2021.05.03 |
|---|---|
| [경영학] 자본 조달 순서 이론의 순서 (0) | 2021.05.03 |
| [경영학/재무학] 순현재가치 NPV란? (0) | 2021.04.12 |
| [NCS/경영학] 제품 수명주기란?_도입기 (0) | 2021.04.12 |
| 델파이 기법 (0) | 2021.04.12 |
댓글